文:李清荷、吴嘉颖
摘要
国债期货的“前世今生”
国债期货起源于海外,1976年1月,美国的第一张国债期货合约诞生。由于推出国债期货对国债现货市场发展的要求较高,要有一定规模、流动性较强,因此21世纪之前主要集中于发达国家。我国国债期货首次上市于1992年12月,在经历了1995年的国债“327”等事件后,国债期货暂时告别国内市场。2013年9月再度起航,目前我国已基本形成覆盖短—中—长—超长期的国债期货产品体系。
国债期货品种与合约特点
当前国债期货有四大品种,分别为2年(TS)、5年(TF)、10年(T)和30年(TL)。每个品种每年有4个固定合约,其交割月份固定为每个季月,即3月、6月、9月和12月。但只有最近的三个合约才能交易,随着时间推移进行替换,分别可称为当季、次季、远季合约,以满足投资者不同期限的交易需求。此外,交易量最大的合约被称为主力合约,主力合约切换通常发生在当季合约最后交易日前20-30天。
国债期货合约规则介绍
机构和个人投资者均可以参加国债期货交易,但门槛相对普通商品期货较高。在期货交易中有最小变动价位这一概念,指的是期货合约日内价格波动的最小幅度。此外,保证金制度通过按合约价值固定比例收取,确保期货合约的履行,尤其在临近交割时,保证金水平会有所上调;相比于股指期货,国债期货所需的每手保证金金额较少,交易杠杆比例更高。
国债期货交割制度
我国国债期货采取实物交割的方式,交割流程上采取滚动交割和集中交割并用。交割时的价格被称为发票价格,而其中的转换因子是真实国债和虚拟标准券之间的转换比例。由于转换因子并未完全“磨平”各可交割国债之间的差异,而国债期货的卖方具有交割券选择权,因此卖方会选择成本最低的交割债券,即“最廉可交割券”。其选择方法主要有三种,分别为经验法则法,净基差法,隐含回购率法。
机构参与国债期货情况
国债期货市场规模稳步增长。2023年,国债期货日均成交量达到18.87万手,较2019年增加253%。其中机构投资者包括银行、基金公司、保险公司等,这些机构拥有较强的资金实力和风险管理能力,他们的参与有助于提升市场的稳定性和成熟度;而散户投资者对市场的流动性和丰富度起到重要作用。未来,随着金融市场的不断发展和完善,国债期货市场将在投资和风险管理中发挥更重要的作用。
风险提示
警惕现货价格波动对期货的影响;国债期货为保证金杠杆交易,波动较大,存在一定交易风险。
正文
01
国债期货简介
1.1国债期货的“前世今生”
海外市场的起源:
1976年1月,美国的第一张国债期货合约诞生。为应对布雷顿森林体系解体以及石油危机的影响,各国政府推行利率市场化政策,结果导致利率波动频繁,市场避险需求日益强烈,在此背景下,国债期货工具首先在美国诞生,是美国由芝加哥商业交易所(CME)推出的90天期的短期国库券期货合约;
1982年5月美国又推出了10年期国债期货。此后,国债期货交易量大幅攀升,美国国债期货的交易量占整个期货交易量的一半以上,10年期国债期货交易量由1995年的2527万手迅速发展为2011年的3.17亿手;
由于推出国债期货对国债现货市场发展的要求较高,要求有一定规模、流动性较强的国债现货市场,因此21世纪之前主要集中于发达国家:美国(1976年)、英国(1982年)、澳大利亚(1984年)、日本(1985年)、德国(1990年)、韩国(1999年)。

我国国债期货市场发展历程:
1)上市历程:
首次上市:1992年12月,上海证券交易所首次尝试国债期货交易,推出了12个品种的国债期货合约。但是,在经历了1995年的国债“327”等事件后(1995年2月23日,上海万国证券公司违规交易“327国债”合约,最后8分钟内成交1056万口卖单,面值达2112亿元国债,亏损16亿元人民币,国债期货因此暂停交易。),监管机构发出了《暂停国债期货交易试点的紧急通知》,国债期货暂时告别了国内期货市场;
再度起航:2013年9月,中金所上市5年期国债期货,拉开了新时代国债期货发展的序幕;2015年3月,10年期国债期货上市;2018年8月,2年期国债期货上市;2023年4月,30年期国债期货上市。目前我国已基本形成覆盖短—中—长—超长期的国债期货产品体系。
我们认为,我国选择5年期的国债期货作为首个上市品种的原因有三:(1)从国际经验看,5年期是国际国债期货市场上最为成功的产品之一;(2)5年期国债期货对应的可交割券范围为剩余期限4至7年的国债,流动性较好,市场代表性广泛,且其中包含了5年期和7年期两个关键期限,发行量稳定,具有较强的防逼仓和抗操纵能力;(3)当时我国公司债、中期票据的发行期限在5年左右,与5年期国债期货久期较为匹配,有利于投资者使用5年期国债期货进行套期保值。

2)参与投资者历程:
2020年2月,允许符合条件的试点商业银行和具备投资管理能力的保险机构参与中国金融期货交易所国债期货交易;第一批试点机构包括:工商银行、农业银行、中国银行、建设银行、交通银行;
2020年9月,证监会发布《QFII、RQFII办法》,允许外资投资金融期货,其中包括股指期货和国债期货,投资品种的丰富将有望吸引更多资金流入;
2021年,中长期资金入市步伐继续加快,首批7家保险机构全部入市,企业年金和职业年金基金先后参与,国债期货的机构投资者类型增加;
2022年1月,渣打中国宣布,经相关监管机构同意,渣打中国成为首家获准参与国债期货交易的在华外资银行,中国国债期货市场对外资银行的开放,进一步丰富了投资者结构。一年后2023年1月,渣打中国通过期货公司开户的方式,完成了首笔国债期货交易;
2023年3月,第二批银行、保险参与国债期货全面落地,投资者结构持续丰富。

1.2国债期货品种与合约特点
了解国债期货的定义:由交易所统一制定,规定在将来某一特定时间和地点交割一定数量记账式付息国债的标准化合约。即指通过有组织的交易场所预先确定买卖价格并于未来特定时间内进行钱券交割的国债派生交易方式。
国债期货品种介绍:当前国债期货有四大品种,分别为2年期(TS)、5年期(TF)、10年期(T)和30年期(TL)。四大品种对于可交割国债发行期限和剩余期限均不相同,有助于满足客户对于不同期限国债套保和套利交易的需求。此外,2年期国债期货合约面值为200万元,而其余三个品种面值均为100万元。

国债期货不同合约介绍:每个品种每年有4个固定合约,其交割月份固定为每个季月,即每年3月、6月、9月和12月,合约名称也以此命名(如今年的4个两年期国债期货合约分别为TS2403、TS2406、TS2409、TS2412)。但只有最近的三个合约才能交易,随着时间推移进行替换,分别可称为当季合约、次季合约、远季合约,以满足不同客户不同期限的交易需求。具体来看,当季合约——流动性最佳,成交量大,到期时间短,对于长期交易需求客户持仓成本高;次季合约——流动性中等,成交量一般,到期中等;远季合约——流动性差,价格波动性高,到期时间长,对于长期交易需求客户持仓成本低。

此外,交易量最大的活跃合约被称为主力合约,主力合约通常是当季合约。但随着当季合约进入交割月,当季合约成交量逐渐下降,次季合约成交量逐渐上升,从而完成主力合约的切换。主力合约切换通常发生在当季合约最后交易日(合约到期月份的第二个星期五)前20-30天左右。

国债期货的持仓量与成交量是重要观察指标,当前十年期国债期货交易最为活跃。以7月份数据为例,国债期货持仓规模和每日成交量波动较大;不同合约角度对比,各品种当季合约成交相对较为活跃;不同品种角度对比,十年期债成交量最大,五年期债次之。我们认为十年期国债期货持仓量最大主要与当前机构投资者现货久期和投资需求有关,国债期货机构投资者中套保对冲需求较大,因此十年期合约相对需求更大、交易更活跃。


02
交易规则梳理
2.1合约规则介绍
机构和个人投资者均可以参加国债期货交易,但门槛相对普通商品期货较高。根据《交易者适当性制度管理办法》,首次开通国债期货交易权限的投资者需要先开通商品期货账户,开通后满足资金、交易经历和知识水平三个方面的要求才可开通国债期货交易权限。

国债期货包括2年期、5年期、10年期与30年期四个品种。图表10详细列出了各期限国债期货的主要合约内容。2年期、5年期、10年期与30年期国债期货的合约标的分别对应名义中短期、中期、长期、超长期国债,其可交割国债均为记账式附息国债。值得注意的是,2024年发行的超长期特别国债已被纳入30年期国债期货可交割券范围。由于不同期限品种的波动性存在差异,中金所对涨跌幅限制、最低交易保证金的设计也有所区分。

最小变动价位是期货合约日内价格波动的最小幅度。由于国债期货采用百元净价报价,即每百元债券面额的价格,因此每张合约价值=百元净价报价*合约面值/100。国债期货的最小变动价位指的是百元净价报价的最小变动价位,因此当价格变动一个最小变动价位时,每张合约持仓的实际损益=最小变动价位*合约面值/100。以10年期国债期货为例,其最小变动单位为0.005元,合约面值为100万元。因此,当10年期国债期货价格最小单位变化0.005元时,将引起期货合约金额50元的变化,即期货合约价格每单位变动额为50元。此外,国债期货交易成本包括交易所手续费、期货公司佣金和投资者保障基金,其中投资者保障基金大约为万分之五,金额较少。不同品种的交易所手续费均为3元/手,一手即为一张合约。不同期货公司佣金收取比例不同,但最高不得超过交易所手续费的5倍。以国债期货多头为例,如果国债期货价格增加一最小单位,扣除交易成本后仍可盈利。

保证金制度通过按合约价值固定比例收取,确保期货合约的履行,尤其在临近交割时,保证金水平会有所上调。合约交易单位为手,每次最小下单数量为1手,每手保证金=盘面价*合约面值/净价报价*保证金比例。相比于股指期货,国债期货所需的每手保证金金额较少,交易杠杆比例更高。

同时,我国国债期货市场参照股指期货的管理模式,引入持仓限额,控制投资者最大持仓合约数量,并实行账户分类管理。具体限制额度如图表13所示。当某合约结算后单边总持仓量超过60万手时,结算会员的持仓量将受到限制。通常账户为投机户,受一般持仓限额约束,而大型机构投资者如需更大规模持仓,可申请套期保值和套利账户。此外,如果银行、保险等机构需要更大规模的持仓,对其持有的大量债券现券进行套期保值,可以向中金所申请套期保值或套利账户,套期保值账户仅能进行套期保值交易,套利账户仅能进行套利交易。

2.2 国债期货交割制度
我国国债期货采取实物交割的方式,具体交割流程上则采取“滚动交割”和“集中交割”并用。滚动交割是指合约进入交割月份后至最后交易日(合约到期月份的第二个星期五)之前,卖方每日可以主动提出滚动交割申请,由中金所负责选择合适的买方进行配对,配对完成后买卖双方就可提前了结头寸,交割出场。到交割日时如仍有未平仓的头寸,则统一强制进入集中交割流程。买方、卖方持仓进入交割的当日,交易所在结算时根据同国债托管机构优先原则,采用最小配对数方法进行交割配对。
交割模式分为一般模式和券款对付模式。交割在配对后的连续三个交易日内完成,依次为第一、第二、第三交割日。以一般模式进行交割的,第一交割日为交券日,卖方应当确保交券的国债托管账户内有符合要求的可交割国债,国债由卖方交券的国债托管账户划转至交易所的国债托管账户后视为卖方完成交券;第二交割日为缴款日,交易所将交割货款从买方结算会员的结算准备金划转至卖方结算会员的结算准备金,同时释放进入交割的持仓占用的保证金;第三交割日为收券日,交易所将可交割国债划转至买方收券的国债托管账户。以券款对付模式进行交割的,第二交割日为券款对付日,卖方和买方根据交割配对结果,按照中央结算的有关规定进行券款对付。以券款对付模式进行交割的,在第三交割日,交易所释放进入交割的持仓占用的保证金。

2.3 交割价格与CTD的选择
交割时的价格被称为发票价格,发票价格=交割结算价×转换因子+应计利息,转换因子是真实国债和虚拟标准券之间的转换比例。虚拟标准券是国债期货的交割标的物,通常的商品期货和股指期货都会制定一个特定的、确实存在的现货作为其交割标的物。但是,债券的多样性和复杂性(如现金流、票面利率、到期期限等差异),直接规定可交割债券会导致市场上仅有极少数债券符合交割条件,这显然缺乏效率。因此,国债期货在设计时引入了虚拟标准券的概念,采用现实中不存在的、虚拟的、剩余期限固定的“名义标准债券”作为交易标的,现实中的债券可以用转换因子折算成标准券进行交割,每只可交割债券都有其相应的转换因子,转换因子在每个国债期货合约开始交易前就由交易所决定。在期货合约的整个交易期间转换因子不会变。
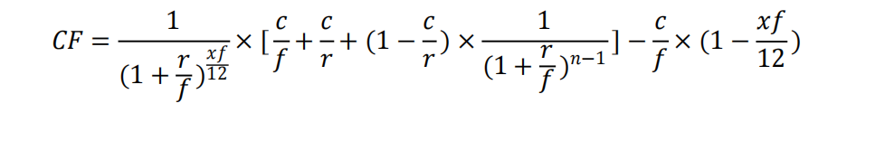
转换因子(CF)计算方法为将该债券的未来现金流按照国债合约票面利率3%向国债期货交割日进行贴现得到的现值,一张可交割国债可兑换CF张名义标准券。具体公式如下:

其中,r=国债合约票面利率3%;x:交割月到下一付息月的月份数;n:剩余付息次数;c:可交割国债的票面利率;f:可交割国债每年的付息次数。
转换因子并未完全“磨平”各可交割国债之间的差异,由于国债期货的卖方具有交割券选择权,因此卖方会选择成本最低的交割债券,即“最廉可交割券”。转换因子的计算假设了各可交割国债的收益率相同,而实际情况是各个债券的收益率随期限不同有差异,加之转换因子在合约存续期间不调整,而各券的价格会变化,债券间相对价格也可能发生变化。因此,即使使用了转换因子进行折算,各可交割国债之间仍然存在细微差别。由于国债期货卖方拥有交割券选择权,合约的卖方都会选择对他最有利,通常也是交割成本最低的债券进行交割,对应的债券就是“最廉可交割券”(CTD)。

选择CTD的方法主要有三种:经验法则法,净基差法,隐含回购率法。经验法则法主要包含两条。法则一:若收益率大于3%,久期越长,债券越可能成为CTD;若收益率小于3%,久期越短,债券越可能成为CTD。法则二:考虑到债券价格和收益率的负相关性,对于久期相同的债券,收益率较高的债券相对便宜,因此更可能是CTD。净基差法:净基差值最小的券为CTD,净基差=基差-持有期收益=现券价格(净价)-(期货合约价格*对应该期货合约和该券的转换因子)-持有期收益。隐含回购率法:隐含回购率越高意味着持有债券并用于交割的回报越高,隐含回购率最高的可交割国债即为CTD,隐含回购率=(国债期货发票价格-国债现货购买价格)/国债现货购买价格,是指买入国债现货并用于期货交割所得到的理论收益率。

03
国债期货市场概览
3.1机构参与国债期货情况
国债期货市场规模在2019年至2023年来呈现出稳步增长的趋势。2023年,国债期货日均成交量达到18.87万手,较2019年增加253%;日均持仓量达到39.91万手,较2019年增加398%。2年期、5年期、10年期、30年期国债期货均已上市,形成了覆盖短、中、长、超长四个期限的产品体系。市场规模稳步增长,投资者结构逐步优化,交割平稳有序。国债期货市场的活跃度和投资者参与度的提高。
国债期货市场的投资者结构也日益多样化,包括机构投资者和个人投资者。在现券市场上,商业银行是记账式国债的主要持有者,占比约为69.26%,随着政策的不断放松,国债市场的交易者逐渐参与到国债期货的交易中。目前,我国国债期货市场参与者多元化,市场机构化程度持续提升,截至2023年,国债期货市场中,机构投资者日均持仓占比呈增加趋势,相较于2013年增加54pct;机构投资者日均成交占比相较于2013年增加67pct;投资者机构化、专业化特征进一步凸显,中长期资金入市步伐明显加快,商业银行、保险资金、基本养老保险基金、年金基金等有序参与国债期货交易。
1、机构投资者:如银行、基金公司、保险公司等拥有较强的资金实力和风险管理能力,他们的参与有助于提升市场的稳定性和成熟度。
银行:承担因持有国债所带来的利率风险,具有较强的利率风险管理需求,可利用国债期货对冲利率上行风险,调整账户的组合久期;
保险:保险机构负债久期长,但是与之匹配的资产较为短缺,可利用国债期货调整资产负债久期缺口。交易目的为对冲或规避风险,不得用于投机交易。
证券公司:为了赚取预期的收益或管理投资组合风险,其参与债券市场的程度日益加大,证券投资机构对债券价格的波动较为敏感,需要利率衍生品来锁定成本。
公募资金:公募基金受到限制较多,公募基金参与国债期货交易的目的仅为风险管理下的套期保值,不得参与投机交易。对于参与交易的基金品种来说,仅有股票型基金、混合型基金和债券型基金可以参与国债期货交易,货币市场基金、短期理财债券基金不得参与国债期货交易。
2.个人投资者:对市场的流动性和参与度起到重要作用。目前,个人投资者参与国债期货交易需要满足一定的条件:
(1)个人投资者需要在期货公司开立期货账户,并在此基础上开通国债期货的交易权限。
(2)国债期货交易有资金门槛,保证金账户连续5个交易日可用资金余额不低于50万元。
(3)投资者要具备金融期货基础知识和相关实践。拟参与国债期货交易的投资者需通过金融期货知识测试,合格分数线为80分。
(4)同时,要有累计10个交易日、20笔以上的金融期货仿真交易成交记录,或者最近三年内具有10笔以上的期货交易记录。
综上所述,国债期货市场规模稳步增长,投资者结构日益多样化,市场功能不断完善。未来,随着金融市场的不断发展和完善,国债期货市场将继续发挥重要作用,为投资者提供更多样化的投资选择和风险管理工具。



3.2对于债市启示
国债期货市场作为重要的利率风险管理市场,与债券市场联动紧密,对于维护金融市场的稳定和发展具有重要意义。国债期货的作用有:
1)价格发现。期货的交易者会对未来现货价格进行判断而做出买卖决策,反映出市场对未来走向的预期;期货市场存在着套利者根据现货与期货市场的价格变化进行套利交易,使期货价格与现货价格间一直维持着合理的关系。
2)提高债券发行积极性。可以帮助国债期货承销商通过套期保值边际缩小利率风险带来的部分资产损失,从而更积极参与到国债一级市场发行;提升国债二级市场流动性,健全反映市场供求关系的国债收益率曲线,促进债券市场的发展。
3)优化资源配置效率。国债期货品种的多样性有利于流动性需求不同的资产的风险管理,提高资源配置效率;通过国债期货的配置可灵活调整资产久期,实现资产负债久期的匹配,提高资金运营效率和风险防控能力。


04
风险提示
警惕现货价格波动对期货的影响:由于国债现券对于虚拟标准券的价格将产生直接影响,而虚拟标准券是国债期货的交割标的物,因此现券价格波动会直接影响国债期货价格走势。
国债期货为保证金杠杆交易,波动较大,存在一定交易风险:由于期货交易存在保证金制度,实为杠杆交易,当期货价格存在较大波动时,可能存在客户权益为负值的风险状况,因此存在交易风险。

- 银行股迎来“黄金买点”?摩根大通预计下半年潜在涨幅高达15%,股息率4.3%成“香饽饽”
- 华润电力光伏组件开标均价提升,产业链涨价传导顺利景气度望修复
- 我国卫星互联网组网速度加快,发射间隔从早期1-2个月显著缩短至近期的3-5天
- 光伏胶膜部分企业上调报价,成本增加叠加供需改善涨价空间望打开
- 广东研究通过政府投资基金支持商业航天发展,助力商业航天快速发展
- 折叠屏手机正逐步从高端市场向主流消费群体渗透
- 创历史季度新高!二季度全球DRAM市场规模环比增长20%
- 重磅!上海加速推进AI+机器人应用,全国人形机器人运动会盛大开幕,机器人板块持续爆发!
- 重磅利好!个人养老金新增三大领取条件,开启多元化养老新时代,银行理财产品收益喜人!
- 重磅突破!我国卫星互联网组网速度创新高,广东打造太空旅游等多领域应用场景,商业航天迎来黄金发展期!
